top of page

In most cases wireless RF transmitters use Doherty configurations in order to achieve the best efficiency for signals with high peak to average ratios.
The linearization of these amplifiers is typically achieved with DPD techniques.
TECHNOLOGY & DESIGN :
LPA Concepts uses both 50V LDMOS and 50V GAN high power RF transistors.

Typical GAN Doherty high power design
ASSEMBLY & TEST :
LPA Concepts high power amplifiers for wireless are all soldered structures for better heat dissipation and lower RF parasitics.
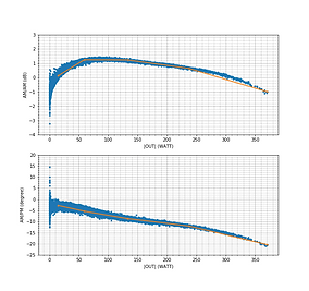
Because of variations in transistor performance, expecially with GAN, all the amplifiers for wireless produced by LPA Concepts are tested in DPD performance with various signals to insure a good performance in the customer system.

LTE10 AMAM/AMPM plots
bottom of page